Kumpulan Soal Turunan Fungsi Aljabar Dan Penyelesaiannya
20201210 18 Replies to Soal dan Pembahasan Turunan Fungsi Aljabar Moch Fadhiil. Semoga soal ini dapat membantu adik adik dalam mengerjakan dan memahami bentuk soal turunan matematika.

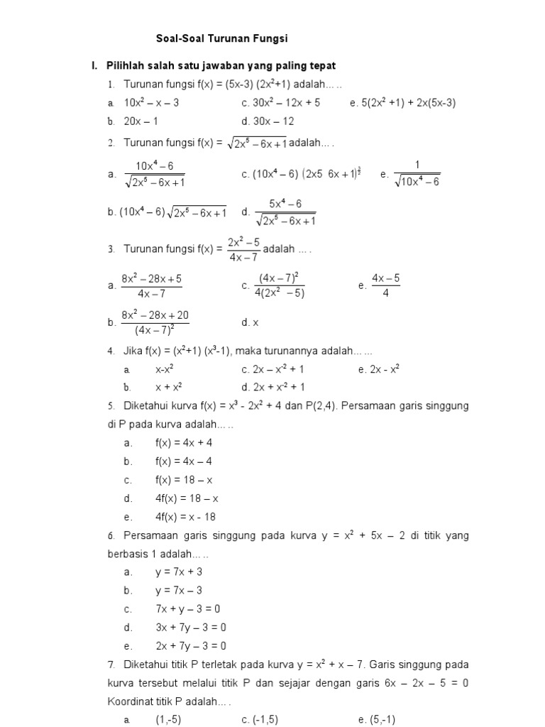
Contoh Soal Dan Jawaban Aplikasi Tirunan Mtk Wajib Ilmusosial Id
A fx 3x 4 2x 2 5x f x 43x 4 1 22x 21 5x 1 1 f x 12x 3 4x 1 5x 0 f x 12x 3 4x 5.

Kumpulan soal turunan fungsi aljabar dan penyelesaiannya. Soal Asli Utbk 2019 Matematika Saintek Aplikasi Turunan Fungsi Di sesi ini kita khusus membahas soal mengenai turunan fungsi aljabar. Bermanfaat untuk meningkatkan kemampuan dalam menyelesaikan soal-soal integral. Turunan Fungsi Aljabar Kemudian ada sebuah pernyataan yang disebutkan oleh Teorema atau yang disampaikan oleh fundamental kalkulus bahwa antiturunan ini artinya sama saja dengan integrasi.
65 Contoh Soal Limit Fungsi Aljabar dan Pembahasan Oleh Anas Ilham Diposting pada Juni 10 2020 November 20 2020 Contoh Soal Limit Fungsi Aljabar dan Pembahasan Pengertian Limit Fungsi Secara Intuitif Limit dapat digunakan untuk menjelaskan pengaruh variabel fungsi yang bergerak mendekati suatu titik terhadap fungsi tersebut. 3 tentukan turunan pertama dari fungsi berikut. V menyatakan turunan fungsi v.
Contoh soal teks ulasan Contoh soal teks ulasan pilihan ganda beserta jawabannya demikianlah artikel tentang 50 contoh soal pilihan ganda tentang teks prosedur kompleks beserta. B fx 2x 3 7x f x 6x 2 7. 20200510 Contoh soal turunan dan penyelesaiannya.
50 Soal Dan Jawaban Integral Pdf Pelajaran Soal Rumus Integral Substitusi Trigonometri Wardaya. Contoh soal aljabar dan penyelesaiannya beserta jawabannya by fitra rumus posted on january 6 2020 rumuscoid pada kesempatan kali ini kita akan membahas mengenai contoh soal tentang aljabar dan pada kesempatan sebelumnya kita juga telah membahas tentang contoh soal mengenai vektor nah untuk saat ini materi lengkap tentang contoh soal. 1 tentukan turunan pertama dari fungsi berikut.
SOAL DAN PEMBAHASAN TURUNAN FUNGSI DIFFERENSIAL Posted by Edutafsi on 08 April 2015 - 1010 AM Turunan pertama suatu fungsi menunjukkan fungsi lain yang nilainya dapat berubah terhadap variabel bebasnya. 1 tentukan turunan pertama dari fungsi berikut. Contoh Soal Aljabar Dan Penyelesaiannya Beserta Jawabannya By Azzahra Rahmah Posted on January 6 2020 Rumuscoid Pada kesempatan kali ini kita akan membahas mengenai contoh soal tentang aljabar dan pada kesempatan sebelumnya kita juga telah membahas tentang contoh soal mengenai vektor nah untuk saat ini materi lengkap tentang contoh soal mengenai aljabar.
Jika turunan itu dintegralkan harusnya menjadi. Berikut ini akan di berikan lima contoh soal tentang terapan turunan masalah pengoptimuman juga diberikan penyelesaiannya. B f x 2x 3 7x f x 6x 2 7.
Contoh Soal Dan Pembahasan Turunan Fungsi Aljabar Selain fungsi turunan juga seringkali ditulis dengandalil dalil. Turunan - Turunan Fungsi Kaitan Antara Turunan dan Kekontinuan Dan Rumus-Rumus Turunan Part 1 Apabila kita mencari turunan dari suatu fungsi menggunakan definisi turunan maka kita harus yakin bila limitnya ada dan bukan atau -. Soal hots aplikasi turunan fungsi aljabar.
Soal dan pembahasan turunan fungsi aljabar. Kumpulan Contoh Soal Turunan Lengkap Dengan Jawaban dan Pembahasannya Kumpulan Contoh Soal Turunan Lengkap Dengan Jawaban dan Pembahasannya Posted on March 26 2021 by Emma. Turunan dan integral ialah merupakan 2 fungsi yang sangat penting dalam kalkulus.
Bentuk turunan tersebut diantaranya yaitu turunan pertama turunan kedua dan turunan fungsi trigonometri. Jika f terintegralkan pada suatu selang yang mengandung tiga titik a b dan c maka. Kumpulan contoh soal berbagai mata pelajaran seperti matematika ipa ips biologi dan lainya sebagai latihan mengerjakan soal agar dapat hasil yang memuaskan saat ujian.
A f x 3x 4 2x 2 5x b f x 2x 3 7x. Turunan fungsi biasa digunakan saat menentukan gradien garis singgung suatu kurva menentukan dimana interval naik turun. Selanjutnya adalah terapkan syarat fungsi turun y 0 sehingga diperoleh.
Soal dan pembahasan super lengkap limit fungsi aljabar berikut ini adalah contoh soal dan pembahasan super lengkap mengenai limit khusus fungsi aljabar. Contoh soal turunan fungsi dan pembahasan contoh soal 1 turunan fungsi aljabar. Contoh soal turunan dan penyelesaiannya.
Soal Latihan dan Pembahasan Integral. Yang sebenarnya turunan dan juga integral adalah 2 buah fungsi. Aturan menentukan turunan fungsi.
Soal un integral 2013. 1 tentukan turunan pertama dari fungsi berikut. 47 Contoh Soal Turunan Fungsi Aljabar.

21 Contoh Soal Turunan Fungsi Perkalian Kumpulan Contoh Soal

Soal Turunan Dan Pembahasan Ilmusosial Id

Contoh Soal Turunan Fungsi Aljabar Halaman All Kompas Com

Soal Dan Pembahasan Turunan Fungsi Aljabar Dengan Pendekatan Logaritma Istana Mengajar
Contoh Kumpulan Soal Dan Jawaban Turunan Fungsi Ilmusosial Id

Contoh Soal Turunan Contoh Soal Dan Materi Pelajaran 7

Smk N 1 Rao Selatan Soal Turunan Fungsi Dengan Pembahasan

Contoh Soal Limit Fungsi Aljabar Dan Pembahasannya Kumpulan Soal Pelajaran 6

Soal Dan Pembahasan Turunan Fungsi Aljabar Dengan Pendekatan Logaritma Istana Mengajar
Contoh Soal Turunan Fungsi Aljabar Beserta Jawabannya Materi Belajar

Turunan Pembahasan Dan Contoh Soal Matematika

Turunan Fungsi Aljabar Ppt Download
Cara Mengerjakan Turunan Fungsi Ilmusosial Id

Contoh Soal Turunan Fungsi Aljabar Halaman All Kompas Com
Soal Dan Pembahasan Turunan Fungsi Aljabar Diferensial Materi Matematika Sma Fastest Math

Turunan Pembahasan Dan Contoh Soal Matematika

Contoh Soal Dan Pembahasan Turunan Fungsi Aljabar Dapatkan Contoh

Posting Komentar untuk "Kumpulan Soal Turunan Fungsi Aljabar Dan Penyelesaiannya"